Skip to content
← Back to Issue

Effectiveness of myofascial release technique on performance parameters and injury risk in young basketball players: a randomized controlled trial

Myofascial release technique on performance parameters and injury risk

Original Research doi:10.4328/ECAM.10107 Published: 01.01.2025 Eu Clin Anal Med 2025;13(1):15-19

Authors

Affiliations

1Department of Physiotherapy and Rehabilitation, Institute of Health Sciences, Marmara University, Istanbul, Türkiye.

2Department of Physiotherapy, Vocational School of Health Services, Istinye University, Istanbul, Türkiye.

3Department of Orthopaedic Surgery and Traumatology, School of Medicine, Marmara University, Istanbul, Türkiye.

4Department of Physiotherapy and Rehabilitation, Faculty of Health Sciences, Marmara University, Istanbul, Türkiye.

Corresponding Author

Abstract

Aim The study aimed to investigate the effects of myofascial release technique (MFR) on vertical jump, agility, balance, and injury risk related to the quality of functional movement execution in young basketball players.
Methods Sixty male athletes were randomly selected and divided into groups. Demographic information was collected from members of each group. Functional movement screen test (FMS), agility t-test, vertical jump test, and star excursion balance test (SEBT) were applied. The intervention group (n=30) received the MFR technique applied twice a week for six weeks before routine training; the control group (n=30) received no intervention. Final evaluations were conducted for both groups six weeks after the initial assessments.
Results Sixty athletes (mean age: 11.5 ± 1.4 years; mean body weight: 44.5 ± 11.5 kg; mean height: 146 ± 12.8 cm; mean BMI: 19.71 ± 2.67 kg/m²) participated in the study. A statistically significant difference was found between the control and intervention groups in FMS total score, agility t-test, vertical jump test, and SEBT (p < 0.001). Regarding FMS parameters, a significant difference was observed (p < 0.05) in the deep squat, hurdle step, shoulder mobility, and active straight leg raise movements.
Conclusion The findings of this study indicated that implementing the MFR technique twice a week for six weeks before training was an effective approach for increasing vertical jump, dynamic balance, and agility performances in young basketball players while positively affecting the risk of injury.

Keywords

myofascial release therapy physical functional performance youth sports

Introduction

Fascia is traditionally seen as a passive structure that surrounds muscles. However, recent evidence shows it is a dynamic tissue with complex vasculature and innervation. The deep or superficial fascia is a layer of connective tissue formed by collagen and elastic fibers.1 It is suggested that restrictions in the fascia may result in injury, muscle imbalance, overuse, reduced muscle length, coordination issues, and decreased muscle power, subsequently impacting sports performance.2
Various techniques and strategies are employed to enhance athletic performance and minimize injury risk among athletes.2 One of these approaches, the myofascial release technique, has been applied to athletes in various sports and has attracted attention because it positively affects athletic performance.3,4 and functional movement patterns.5 The MFR technique involves separating soft tissue from the tight fascia and releasing adhesions in the deep fascial layers. These interventions restore optimum length, relieve pressure on blood vessels, and improve functions.6,7,8 The process serves to elongate the elastic components of the fascia along the cross-bridges, thereby modifying the viscosity of the ground substance of the fascia. The MFR technique involves applying slow, sustained pressure to restricted fascial layers directly or indirectly. In the direct MFR technique, practitioners apply pressure directly over the restricted fascia using knuckles, elbows, or tools (Graston, tennis ball, etc.), gradually sinking into the fascia with a few kilograms of force to create tension or stretch the fascia. On the other hand, the indirect MFR technique involves gentle stretching along the path of least resistance until free movement is achieved. Here, only a few grams of pressure are applied, and the hands follow the direction of the fascial restrictions, holding the stretch and allowing the fascia to release itself.6
Though basketball is considered a collision-free sport, players often block and jostle one another for possession of the ball. The popularity of basketball amongst young players has increased competitively and recreationally in recent years, increasing sports-related injuries among younger athletes. Basketball players who develop multiple physical attributes perform better and are less likely to get injured.9 The literature review revealed that no prior studies had investigated the impact of the MFR technique on the performance parameters and the quality of functional movement in young basketball players.
Based on all these, we aimed to investigate the effects of the MFR technique on vertical jump, agility, balance, and injury risk related to the quality of functional movement performed in young basketball players.

Materials and Methods

Study DesignInvestigators randomized participants using the Calculator Soup® Random Numbers Generator (Ashland Global, USA) and assigned them to intervention and control groups. The intervention group (n=30) underwent an initial assessment, which included demographic information and anthropometric screening, followed by study measurements. The MFR technique was then applied to pre-defined muscles twice a week for six weeks, with final assessments conducted at the end of the intervention period.
The control group (n=30) underwent an initial assessment, which included demographic information and anthropometric screening, followed by study measurements. No intervention was received; they continued their regular training program.
ParticipantsSixty young male basketball players were recruited from the Bahcesehir Basketball Specialized Sports Club population. This study was carried out between January 2023 and February 2024. Before enrolment, all athletes and their relatives were interviewed about the procedures, potential side effects, and the benefits of participating in the study. For the study, participants had to be male, aged 10 to 16, and play basketball for at least six months. The study excluded anyone who had had surgery in the last six months, had an injury to their arms or legs in the previous three months, and had been evaluated during the pre-season period. The sampling flow chart of the research is presented in Figure 1.
EvaluationsThe same examiner administered all measures. All assessments were measured three times, and the best was documented. The tests included the functional movement screen (FMS) test, agility t-test, vertical jump test, and the star excursion balance test (SEBT).
Functional Movement Screen TestThe FMS is a clinical test developed to screen fundamental movement performance. The functional movement pattern tested identifies asymmetry and weakness. It consisted of seven movements, including the deep squat, trunk stability push-up, scored unilaterally, and in line lunge, hurdle step, shoulder mobility, active straight leg raising, and rotary stability, scored bilaterally. The athletes were able to score between zero and twenty-one points. A score below fourteen points indicated a low functional movement capacity and a high risk of injury. The intraclass correlation coefficient (ICC) for seven FMS movements was 0,89.10 Three repetitions were taken for each movement, and the best result was documented. This study’s investigator was experienced working with FMS experts.
Agility T-TestThe agility T-test is a running test in which four cones are arranged in a T shape. This test involves specific types of action, including running forwards, laterally, and backward, with extra steps and direction changes. It is used to evaluate sports performance. This test’s ICC was 0,94.11 The athlete’s completion time was recorded using a stopwatch. Three repetitions were conducted for the agility T-test, and the best result was documented.
Vertical Jump TestVertical jump height is an essential scale sports scientists use to determine lower extremity explosive performance. My Jump2 tool was developed as a mobile application to accurately calculate jump height based on the selected take-off and landing frames and the flight time. The ICC for jump height values was 0,96.12 This software was purchased for the research, and evaluations were made using it. Three repetitions of the jump test were taken, and the best result was documented.
Star Excursion Balance TestThe SEBT is a validated dynamic test for predicting lower limb injury risk, identifying dynamic balance in the lower extremities, and evaluating training programs in athletes. The ICC for the multiple directions in the SEBT ranged from 0,84 to 0,92. During the test, the participant balanced on one leg in the center of a star drawn on the floor and extended their foot in eight different directions: anterior, anterolateral, lateral, posterolateral, posterior, posteromedial, medial, and anteromedial. After completing the test, the athlete should balance on the extended foot.10 Three repetitions were taken for each measurement, and the best result was recorded in centimeters.
InterventionThe direct MFR technique was applied directly to the quadriceps femoris, biceps femoris, semitendinosus, and gastrocnemius muscles in both lower extremities of the athletes. The frequency of application of the technique was twice a week before the training program, and the application time was two minutes for each muscle. The researcher placed his hand on the muscle insertion the athlete would apply to penetrate the fascia gradually. Then, he pressed down with a light force at a ninety-degree angle and slowly advanced in a craniocaudal direction, pressing toward the muscle’s origin. The researcher used verbal questioning while applying the MFR technique to determine whether the pressure level was within the athletes’ pain threshold. When the athlete lay down supine, the researcher applied the MFR technique to the athlete’s bilateral quadriceps femoris muscle, standing at the athlete’s knee level. When the athlete lay down in a prone position, the researcher applied the MFR technique to the athlete’s bilateral biceps femoris and semitendinosus muscles, standing at the athlete’s knee level, and to the athlete’s bilateral gastrocnemius muscle, standing at the ankle level. The same researcher applied the MFR technique to the athletes. The routine training program consisted of warm-up, strength and conditioning, tactical work, and cool-down.
Ethical Approvalhis study was planned as a randomized, controlled prospective study. It was approved by the University of Marmara Faculty of Medicine Clinical Research Ethics Committee [Date: 2022-08-29, No: 09.2022.977]. The study protocol was registered on www.clinicaltrials.gov (Clinical Trial no. NCT05675514). Before the study, written informed consent was obtained from all athletes and their parents.
Statistical AnalysisThe sample size for this study was calculated using G*Power 3.1. Zhang et al. (2020) calculated the effect size of the SEBT anterior right change as 0.706. At a 5% significance level and an effect size of 0.706, 48 people (24 in each group) would be needed (df=23; t=1.714) to exceed the 95% power level.13 Given the high power of the test and the losses, the research aimed to reach 60 people in total (30 in each group). SPSS (Statistical Package for Social Sciences) Windows v25.0 was used to record all continuous analyses of the study. Means and standard deviations (SD) were recorded for quantitative results and percentages (%) for qualitative results. According to the normal distribution of the data, the “Kolmogorov-Smirnov test alone” was structured. Repeated-measures analysis of variance (ANOVA) was performed on the independent variables with the addition of time and groups. Significant results underwent pairwise post hoc analysis. To describe the differences in the respective intervention, the effect size of the differences between the groups was calculated using Cohen’s d-test and classified as small (d ≥ 20 and d <0,50), medium (d ≥ 50 and d <80), and large (d ≥ 80). P <0.05 was considered statistically significant.14
Reporting GuidelinesThis study was reported in accordance with the CONSORT reporting guidelines for randomized controlled trials.

Results

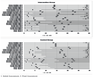
A total of 60 athletes (mean age 11.5±1.4 years; mean body weight 44.5±11.5 kg; mean height 146±12.8 cm; mean BMI: 19.71 ± 2.67 kg/m2) participated in the study. The results for the vertical jump test, agility t-test, FMS total score (Table 1), FMS test parameters (Figure 2), and SEBT (Figure 3) demonstrated the impact of variable interaction in both groups.
Statistically significant differences (95% CI: 3.7 to 5.6, p < 0.001, Cohen’s d: 0.43 (small effect)) were found in the vertical jump test scores and agility t-test scores (95% CI: -2.24 to -1.42, p < 0.001, Cohen’s d: 0.50 (medium effect)) of the intervention group (Table 1). Also, statistically significant differences (95% CI: 2.04 to 2.95, p < 0. 001, Cohen’s d:0,51 (medium effect)) were observed in the FMS total score (Table 1).
Figure 2 displays the FMS test parameters’ initial and final assessment scores. At the initial and final assessments, a comparison of FMS parameters revealed a significant increase in deep squat, hurdle step, shoulder mobility, and active straight leg raise. Especially noteworthy were the findings for deep squat (95% CI: 0.47, p < 0.05, Cohen’s d:0.20 (small effect)), right active straight leg raise (95% CI: 0.53, p < 0.001, Cohen’s d:0.31 (small effect)), and left active straight leg raise (95% CI: 0.50, p < 0.001, Cohen’s d:0.21 (small effect)).
Figure 3 shows the SEBT results. Statistically significant differences (p < 0.001) in the two measurements were found for all variables in both groups. In this test performed on both feet, the intervention group showed a more significant increase in the mean values of anterior, lateral, and anterior lateral evaluations than the control group. Especially noteworthy were the findings for the anterior left (95% CI 6.6, p < 0.001, Cohen’s d: 0.45 (small effect)), the anterior-lateral right (95% CI 5.9, p < 0.001, Cohen’s d: 0.68 (medium effect)), and the lateral left (95% CI 5.27, p < 0.001, Cohen’s d: 0.56 (medium effect)).

Discussion

This study represents the first investigation into the MFR technique’s impact on performance and injury risk related to the quality of functional movement performed in young basketball players. It demonstrated that the MFR technique increased vertical jump, dynamic balance, and agility performances in young basketball players while positively affecting the risk of injury.
The vertical jump is one of the most common movements performed by basketball players. Coaches and athletes dedicate significant time to training methods, including the stretch-shortening cycle and traditional strength training.15 MacDonald et al. received instrument- assisted soft tissue mobilization (IASTM) on the quadriceps and triceps surae muscles. However, they have reported no significant difference in vertical jump height between the groups.16 Oliveira et al. evaluated the immediate effects of active, ballistic, passive, and proprioceptive neuromuscular facilitation (PNF) stretching methods on performance in vertical jumping in young soccer players. They have reported that active and ballistic stretching methods could be used before vertical jump and sprint activities to increase flexibility. However, it is advisable to avoid passive and PNF methods due to their potential adverse effects on vertical jump performance.17 Our study concluded a substantial increase in vertical jump height with the MFR technique. This finding supports other studies in the literature.3,13 This increase could be seen with the simultaneous long-term application of the MFR technique to the muscle group, which could affect vertical jumping. Since the MFR technique contributes to restoring the viscosity of the fascia, its tissue increases the oscillatory force during contraction.
Agility is widely acknowledged as one of basketball’s most crucial conditioning capacities.18 Lyu et al. observed that the immediate effects of static stretching for the plantar flexor muscles were not significantly associated with agility.19 Mendhe et al. observed that the various stretching techniques described for the quadriceps muscle (static stretching and muscle energy technique) did not significantly affect agility performance.20 In our study, we observed that the MFR technique significantly increased agility. This increase was thought to be due to the direct and simultaneous application of the technique to the quadriceps femoris, biceps femoris, semitendinosus, and gastrocnemius muscles. These results showed that more than focusing on a single muscle group would be required to increase agility.
Most research on FMS has been conducted on adults, with very few studies focusing on youth. The age range is a significant factor in this test.21 O’Brien et al. reported a meta-analytic mean between samples of males with a score of 13.91 for the cut-off value of the FMS test. This finding indicates that children in primary and secondary school may have deficiencies in functional movements, putting them at risk of developing dysfunctional movement patterns during a crucial maturation period.21 Egesoy et al. studied the immediate impact of the MFR technique on balance, anaerobic power, and functional movements in young soccer players. They found improvements in the FMS total score and active straight leg raise movement.22 Our study concluded that the MFR technique significantly increased the FMS total score, deep squat, hurdle step, shoulder mobility, and active straight leg raise movements. The FMS total score in the intervention group increased from 11,53 to 14,03. This increase was attributed to the MFR technique, which helps restore the fascial tissue within the muscle structure to its optimal length by alleviating excessive tension and reducing muscle stiffness. Consequently, improvements in movement quality are directly related to the injury risk.
It is crucial to address basketball players’ challenges to maintain their balance during movements that necessitate jumping, particularly when utilizing the pivot foot. Furthermore, their capacity to alter direction during acceleration is of paramount importance.23 Riberio et al. investigated the effect of MFR applied to ankle plantar flexor muscles on static postural balance. They have reported that MFR performed on ankle flexors did not affect static postural balance in young men.24 Bartík et al. investigated the effect of percussion massage on balance. They have reported no significant differences.25 In our study, we concluded that the MFR technique significantly improved balance. This increase might have been due to the frequency and duration of applying the MFR technique, which affects the posterior chain.

Limitations

Our study had limitations. First, the sample size was sufficient for statistical analysis. However, it could have been conducted in larger groups to evaluate subgroups, such as people of different ages and genders. Future studies can explore the effects of other treatment techniques (such as stretching, muscle energy, PNF, etc.) on the fascia.

Conclusion

The MFR technique positively impacted young basketball players’ performance parameters and injury risks. Our findings will benefit sports professionals and provide new perspectives on athletes’ health and performance.

Declarations

Ethics Declarations

This study was conducted in accordance with the ethical standards of the institutional research committee and with the 1964 Helsinki Declaration and its later amendments.

Animal and Human Rights Statement

All procedures performed in this study were in accordance with the ethical standards of the institutional and/or national research committee and with the 1964 Helsinki Declaration and its later amendments or compareable ethical standards.

Informed Consent

Written informed consent was obtained from all participants and their parents before participation in the study.

Data Availability

The datasets generated and analyzed during the current study are available from the corresponding author upon reasonable request.

Conflict of Interest

The authors declare that there is no conflict of interest.

Funding

None

Scientific Responsibility Statement

The authors declare that they are responsible for the article’s scientific content including study design, data collection, analysis and interpretation, writing, some of the main line, or all of the preparation and scientific review of the contents and approval of the final version of the article.

Abbreviations

ANOVA: Analysis of Variance
BMI: Body Mass Index
FMS: Functional Movement Screen
ICC: Intraclass Correlation Coefficient
MFR: Myofascial Release
PNF: Proprioceptive Neuromuscular Facilitation
SEBT: Star Excursion Balance Test
SD: Standard Deviation

References

  1. Adstrum S, Hedley G, Schleip R, Stecco C, Yucesoy CA. Defining the fascial system. J Bodyw Mov Ther. 2017;21(1):173-177.
  2. Behara B, Jacobson BH. Acute effects of deep tissue foam rolling and dynamic stretching on muscular strength, power, and flexibility in division I linemen. J Strength Cond Res. 2017;31(4):888-892.
  3. Richman ED, Tyo BM, Nicks CR. Combined effects of self-myofascial release and dynamic stretching on range of motion, jump, sprint, and agility performance. J Strength Cond Res. 2019;33(7):1795-1803.
  4. Aslan TV, Kahraman MZ. The Effect of Myofascial Release Technique Applied with Foam Roller on Jumping, Flexibility and Short Distance Swimming Performance in Swimmers. JERP. 2023;4(2):653-666.
  5. Kaczorowska A, Noworyta K, Mroczek A, Lepsy E. Effect of the MobilityWOD training program on functional movement patterns related to the risk of injury in CrossFit practitioners. Acta Gymnica. 2020;50(1):3-8.
  6. Ajimsha MS, Al-Mudahka NR, Al-Madzhar JA. Effectiveness of myofascial release: Systematic review of randomized controlled trials. J Bodyw Mov Ther. 2015;19(1):102-112.
  7. Pisirici P, Ekiz MB, Ilhan CA. Investigation of the acute effect of myofascial release techniques and dynamic stretch on vertical jump performance in recreationally active individuals. J Phys Educ Sport. 2020;20(3):1569-1579.
  8. Satkunskiene D, Ardekani MMZ, Khair RAM, Kutraite G, Venckuniene K, Snieckus A, et al. Effects of warm-up on hamstring stiffness, stress–relaxation, flexibility and knee proprioception in young soccer players. J Athl Train. 2022;57(5):485-493.
  9. Domínguez-Díez M, Castillo D, Raya-González J, Sánchez-Díaz S, et al. Comparison of young players’ multidirectional jump performance and lower limb passive range of motion profile between soccer and basketball. PLoSOne. 2021;16(1):e0245277.
  10. Chimera NJ, Warren M. Use clinical movement screening tests to predict injury in sport. World J Orthop. 2016;7(4):202-217.
  11. Chang WD, Chou LW, Chang NJ, Chen S. Comparison of functional movement screen, star excursion balance test, and physical fitness in junior athletes with different sports injury risk. Biomed Res Int. 2020;1:8690540.
  12. Haynes T, Bishop C, Antrobus M, Brazier J. The validity and reliability of the My Jump 2 app for measuring the reactive strength index and drop jump performance. J Sport Med. 2019;59(2):253-258.
  13. Zhang Q, Trama R, Fouré A, Hautier CA. The Immediate Effects of Self‐Myofacial Release on Flexibility, Jump Performance and Dynamic Balance Ability. J Hum Kinet. 2020;75(1):139-148.
  14. Peterson SJ, Foley S. Clinician’s guide to understanding effect size, alpha level, power, and sample size. Nutr Clin Pract. 2021;36(3):598-605.
  15. Uysal HŞ, Dalkiran O, Korkmaz S, Akyildiz Z, Nobari H, Clemente FM. The effect of combined strength training on vertical jump performance in young basketball players: A systematic review and meta-analysis. Strength Cond. J. 2023;45(5):554-567.
  16. MacDonald N, Baker R, Cheatham SW. The effects of instrument assisted soft tissue mobilization on lower extremity muscle performance: A randomized controlled trial. Int J Sports Phys Ther. 2016;11(7):1040-1047.
  17. Oliveira LP, Vieira LH, Aquino R, Manechini, JP, Santiago PR, Puggina EF. Acute effects of active, ballistic, passive, and proprioceptive neuromuscular facilitation stretching on sprint and vertical jump performance in trained young soccer players. J Strength Cond Res. 2018;32(8):2199-2208.
  18. Sekulic D, Pehar M, Krolo A, Spasic M, Uljevic O, Calleja-González J, et al. Evaluation of basketball-specific agility: applicability of preplanned and nonplanned agility performances for differentiating playing positions and levels. J Strength Cond Res. 2017;31(8):2278-2288.
  19. Lyu BJ, Lee CL, Chang WD, Chang NJ. Effects of vibration rolling with and without dynamic muscle contraction on ankle range of motion, proprioception, muscle strength and agility in young adults: a crossover study. Int J Environ Res Public Health. 2020;17(1):354.
  20. Mendhe KA, Siddique B, Verma R, Sahu S, Purohit P. Different stretching methods of the quadriceps muscles on agility performance in female cricket players of 13-15 years age. IJBAR. 2014;5(3):166-169.
  21. O’Brien W, Khodaverdi Z, Bolger L, Tarantino G, Philpott C, Neville RD. The assessment of functional movement in children and adolescents: A systematic review and meta-analysis. Sports Med. 2022;52(1):37-53.
  22. Egesoy H, Unver F, Uludag V, Celik E, Burulday E. The acute effect of applying the myofascial release to the balance, anaerobic power, and functional movements in young soccer players. Ambi. 2020;07(Suppl.1):154-158.
  23. Bouteraa I, Negra Y, Shephard RJ, Chelly MS. Effects of combined balance and plyometric training on athletic performance in female basketball players. J Strength Cond Res. 2020;34(7):1967-1973.
  24. Ribeiro DLF, Medeiros FV, Marinho EB, Júnior JBF, Bottaro MF, Carmo JC. Effects of myofascial release of the ankle plantar flexors on static postural balance of young men: A randomized clinical trial. J Bodyw Mov Ther. 2021;28:121-125.
  25. Bartík P, Pacholek, M. The effect of percussion and manual activation massage on explosive strength and balance in young adult males: A crossover pilot study. Heliyon. 2024;10(20):e39619.

Figures

Figure 1

Figure 1. Flow Chart of Study

Figure 2

Figure 2. A Comparison of FMS Parameters in Both Groups

Figure 3

Figure 3. A Comparison of Initial And Final Star Excursion Balance Test Scores in Both Groups

Tables

Table 1. Comparison of Initial and Final Assessments of Vertical Jump Test, Agility T-Test, and FMS Total Scores

Table 1

FMS: Functional Movement Screen SD: Standard Deviation, Cm: Centimeter, Sı:second, Cl: Confidence Interval, Bold emphasis indicates p < 0.05, P significance level

Additional Information

Publisher’s Note
Bayrakol MP remains neutral with regard to jurisdictional and institutional claims.

Rights and Permissions

Creative Commons License

This work is licensed under a Creative Commons Attribution-NonCommercial 4.0 International License (CC BY-NC 4.0). To view a copy of the license, visit https://creativecommons.org/licenses/by-nc/4.0/

About This Article

How to Cite This Article

Vedat Göken, Hasan Hilmi Muratlı, Gönül Acar. Effectiveness of myofascial release technique on performance parameters and injury risk in young basketball players: A randomized controlled trial. Eu Clin Anal Med 2025;13(1):15-19

Received:
December 9, 2024
Accepted:
December 28, 2024
Published Online:
December 31, 2024
Printed:
January 1, 2025